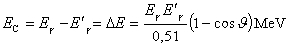
g -foton és elektron rugalmas ütközése (ez utóbbi kötési energiája elhanyagolható a foton energiájához képest)

A klasszikus mechanikai modell (Nagy Lajos György - László Krisztina: Radiokémia és izotóptechnika, Mûegyetemi Kiadó, Budapest, 1997. 110. oldal) alapján az energia- és impulzusmegmaradásból megadható
- a
szórt g
-foton
energiája
- a Compton-elektron
kinetikus energiája
A meglökött ún. Compton-elektronok energiája folytonosan változik nullától egy maximális értékig. Maximális az energiafelvétel a J = 180 és J = 0 szögekkel jellemezhetõ ütközéskor. A szórt elektronok száma különbözõ irányokban:

A Compton-elektronok energiaeloszlása:

![]() |
![]() |
![]() |